近日,我校理学院青年教师丁文魁博士在国际物理学顶级期刊Physical Review Letters发表了题为“Fundamental Sensitivity Limits for Non-Hermitian Quantum Sensors”的研究论文,我校理学院王晓光教授与中国科学院物理研究所陈澍研究员为共同通讯作者。该工作受到科技部国家重点研发计划(2021YFA1402104) 、国家自然科学基金委 (No. 12174436, No.11935032,No. T2121001) 和中国科学院先导专项(No. XDB33000000) 等项目的资助。

量子感知是指利用量子相干性或量子关联实现对物理量的超精密测量。近些年来,伴随着非厄米物理的蓬勃发展,若干新奇的非厄米物理特性被提出用于实现精密测量方案。其中最广为人知的是有研究组提出,利用例外点处本征能量的分数型色散关系可以实现对物理量的精密测量。在随后的实验中,人们确实观测到了非厄米系统在例外点附近对参数变化的敏感性。然而,随后有学者指出这类基于非厄米例外点的精密测量方案并没有考虑进系统噪声的影响。按照量子度量学中的标准定义,传感器的灵敏度由信号噪声比来决定。当考虑进非厄米系统例外点处噪声的影响时,整体的灵敏度可能并不会得到增强。此后,若干基于非厄米系统其它物理特性的精密测量方案陆续被提出,并且研究了系统噪声的影响。其中一部分理论和实验的结果表明,即使考虑进噪声的影响,非厄米传感器相比传统厄米传感器在灵敏度方面仍然存在着很大的优势。而另一些理论和实验则表明,当考虑进噪声影响时,非厄米传感器的优势会消失。因此,非厄米物理是否真的会增强传感器的测量精度,此前仍然是一个充满争议、亟待解决的问题。
发表在Physical Review Letters上的这篇学术论文研究了非厄米传感器灵敏度的基本极限问题。利用扩大的量子系统实现的非厄米系统,从量子信息的角度确定了非厄米传感器灵敏度的基本极限。在满足一定条件下,一个量子系统的子系统可以被看作一个非厄米系统,因此研究非厄米量子传感器的灵敏度可以从研究整体的扩大的量子系统的角度出发研究传感器的灵敏度的量子极限。他们证明,由于关于待测参数的量子信息的不变性,非厄米传感器在灵敏度性能上并不优于厄米传感器(直接耦合到参数)。通过仔细研究两个使用全量子系统实现的具体非厄米传感方案,他们证明这些传感器的灵敏度与他们的理论预测相符。他们的工作建立了非厄米物理和量子度量学之间的联系,为理解非厄米量子传感器的基本极限提供了一个全面的、不依赖具体模型的理论框架。
相关研究成果发表在Phys. Rev. Lett.131, 160801 (2023) .
论文链接https://doi.org/10.1103/PhysRevLett.131.160801

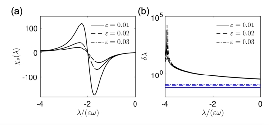
图1.在赝厄米量子传感器中非厄米传感器的测量精度(黑线)不会超越相应的厄米传感器的测量精度(蓝线)。

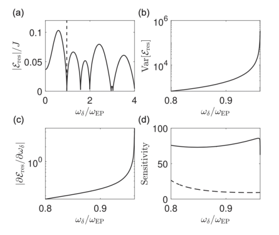
图2.在离子阱平台实现的非厄米量子系统中,由于信号和噪声都存在着发散,标准定义的灵敏度在例外点处并不会发散,并且不会超越相应厄米传感器的灵敏度极限(虚线)。
作者简介
丁文魁,武汉大学与美国埃姆斯国家实验室联合培养博士,先后于浙江大学与中国科学院物理研究所从事博士后研究。2023年加入浙江理工大学物理系,主要从事量子信息与量子计算,量子精密测量等方向的研究。